Airton Leite Kronbauer1; Paulo Schor1; Wallace Chamon1; Luis Alberto Vieira de Carvalho2
DOI: 10.1590/S0004-27492011000200004
RESUMO
OBJETIVO: Desenvolver um método e um dispositivo para quantificar a visão em candela (cd). Os estudos de medida da visão são importantes para todas as ciências visuais. MÉTODOS: É um estudo teórico e experimental. Foram descritos os detalhes do método psicofísico e da calibração do dispositivo. Foram realizados testes preliminares em voluntários. RESULTADOS: É um teste psicofísico simples e com resultado expresso em unidades do sistema internacional de medidas. Com a descrição técnica será possível reproduzir o experimento em outros centros de pesquisa. CONCLUSÃO: Os resultados aferidos em intensidade luminosa (cd) são uma opção para estudo visual. Esses resultados possibilitarão extrapolar medidas para modelos matemáticos e para simular efeitos individuais com dados aberrométricos.
Descritores: Testes visuais; Acuidade visual; Percepção visual; Percepção de forma; Reconhecimento visual de modelos; Sistema internacional de unidades; Modelos teóricos; Psicofísica; Estimulação luminosa
ABSTRACT
PURPOSE: To develop a method and a device for vision measurement in candela (cd). Vision measurement studies are important to all visual sciences. METHODS:It is a theoretical and experimental study. The details of psychophysical method and device calibration were described. Preliminary tests were performed on volunteers. RESULTS:It is a simple psychophysical test and results are expressed in International System of Units. With this technical description it will be possible to reproduce the experiment in others research centers. CONCLUSION: The results measured in luminous intensity (cd) are an option for visual studies. These results allow to extrapolate measurements for mathematical models and to simulate data for individual aberrometry effects.
Keywords: Vision tests; Visual acuity; Visual perception; Form perception; Pattern recognition, visual; International system of units; Models, theoretical; Psychophysics; Photic stimulation
INTRODUÇÃO
A medida da visão é a base para o estudo e a padronização das ciências visuais. A medida da acuidade visual tem grande importância tanto para a pesquisa como para a prática clínica(1). Os principais métodos para examinar, qualificar e quantificar o sentido da visão são baseados atualmente em testes psicofísicos. Esses testes são compostos de um estímulo físico padrão e de uma resposta psíquica padrão(1-2).
Neste estudo é descrito um método padronizado de medida da visão quantificando a intensidade luminosa em candela (cd) do estímulo. Candela é uma das sete grandezas de base do Sistema Internacional de Unidades (SI)(3). Essa unidade cd é a intensidade luminosa, numa dada direção, de uma fonte que emite uma radiação monocromática de frequência 540x1012 hertz e cuja intensidade energética nessa direção é 1/683 watt por esterorradiano.
Um dos tipos de medida da acuidade visual por detecção de alvo é conhecido por mínimo visível(1). O teste mínimo visível é pouco utilizado e neste estudo apresentamos modificações para facilitar e ampliar sua utilização. O teste mínimo visível consiste na detecção do mínimo tamanho visível de um estímulo puntiforme. Esse teste foi modificado, quantificando a intensidade luminosa do estímulo ao invés do tamanho.
MÉTODOS
É um projeto híbrido sendo composto por estudos teóricos, experimentais e clínicos. Realizado em colaboração nos laboratórios da UNIFESP, USP-SC e Hospital Banco de Olhos de Porto Alegre (HBO). O projeto foi aprovado nos comitês de ética da UNIFESP e HBO.
DESCRIÇÃO DO MÉTODO
A utilidade do método é de medida da função visual. O método é baseado no princípio de medida visual do Mínimo Visível. O método é um teste de resposta psicofísica, com examinador e examinado participando ativamente.
DETALHAMENTO DO MÉTODO
Estímulo padrão
É apresentado ao examinado um estímulo visual com variabilidade padrão. O estímulo visual corresponde a um ponto luminoso circular (Figura 1). A variabilidade do estímulo é controlada pelo examinador. A variação inicia com um estímulo subliminar (não identificável pelo examinado), alternado com estímulo supralimiar, até encontrar o estímulo limiar Mínimo Visível (ponto de corte visual identificável pelo examinado) (Gráfico 1). O examinador pode aumentar ou diminuir o estímulo próximo ao ponto limiar, para verificação exata do estímulo Mínimo Visível.


Resposta padrão
A resposta padrão do examinado é a verbalização da observação do estímulo padrão puntiforme circular Mínimo Visível (resposta: sim ou não). O examinador pode avaliar de imediato a resposta por resultados reprodutíveis, falso-positivos e falso-negativos. Foi utilizada a técnica de psicofísica adaptativa de estimação de parâmetro por ensaio sequencial (PEST)(2,4).
Resultado do método: unidade e escala de medida
O resultado do método é uma variável quantitativa numérica aferida pela quantificação do estímulo. A escala de medida é intervalar/proporcional com ponto zero verdadeiro (ausência do estímulo) e intervalos iguais proporcionalmente menores.
A utilidade do aparelho é de padronizar o estímulo visual. O dispositivo é baseado na projeção e controle do estímulo por computação gráfica. O dispositivo e o estímulo são controlados pelo examinador com um botão início (clique simples) e um botão de variabilidade (botão de rolagem). O botão de variabilidade aumenta e reduz o estímulo. O botão de início começa o método de exame.
O estímulo afere inicialmente o mínimo ângulo visual e após quantifica a intensidade mínima de luz.
Detalhamento do dispositivo
Hardware: É composto por um monitor gráfico, uma unidade central de processamento e um mouse com rolamento. O monitor é fixado a seis metros do examinado.
Software: É composto por um algoritmo de matemática computacional gráfica. É usada a linguagem voltada para objeto de VisualBasic® em uma plataforma operacional Windows®. O programa controla a área e luminosidade do estímulo visual puntiforme circular conforme a interface com o examinador.
Análise e funcionamento do software
Criou-se um software com algoritmo de matemática computacional gráfica com controle de "pixels", área e luminosidade. O programa controla a área e luminosidade do estímulo visual puntiforme circular conforme a interface com o examinador (Figura 2). O estímulo foi testado de forma monocromática (preto ou branco) podendo alternar o plano de fundo conforme (Figura 1) gravuras A ou B.

O algoritmo criado para o novo método baseia-se em correlações matemáticas entre diferentes tipos de unidades do SI, no intuito de medir a visão.
Análise e funcionamento do hardware
Foram usados diferentes tipos de monitores de exposição para computador, ou simplesmente monitores. Os tipos de monitores usados foram o tubo de raio de cátodo ("Cathode ray tube" ou CRT) e o transistor de cristal líquido de película fina ("Thin Film Transistor Liquid Crystal Display" ou TFT-LCD).
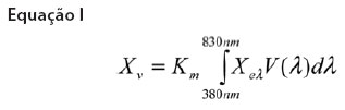
Os princípios da radiometria e da fotometria (equação I) foram usados para aferir os níveis de radiação luminosa. O dispositivo usado para calibração foi um detector de luz (comumente chamado de luxímetro ou fotômetro). Os tipos de detectores de luz mais utilizados são os diodos de PIN ("P-I-N Photodiodes" compostos de camadas de semicondutores com base de silício-Si14 com propriedades de fotodetecção, onde a região N [Cátodo] e a região P [Ânodo]) e os tubos fotomultiplicadores. Os diodos de PIN (Figura 3) são medidores sensíveis, leves, com baixo custo; e são muito usados em sistemas de iluminação. O princípio, para detectar a luz de incidente, é baseado no efeito da excitação foto-elétron, que causa o aumento da corrente elétrica através do diodo. Entretanto, os diodos de PIN devem ser usados conjuntamente com os filtros ópticos, que adaptam a sensibilidade espectral do diodo a sensibilidade espectral da luz visível pelo olho humano.


O fotômetro usado possui a medição de 1,5 medidas por segundo da marca Instrutherm® modelo digital LD-240 calibrado conforme Rede Brasileira de Calibração/INMETRO. As dimensões da fotocélula são de 115x60x27 mm com 80 g. A interface de exposição da fotocélula é uma superfície circular com 200 mm de raio. As especificações da fotocélula, após calibração à temperatura de cor de 2856K, possui precisão de ± 5% da leitura e reprodutibilidade de ± 2% da leitura. O elemento fotossensor é um fotodiodo de silício com filtro. A sensibilidade espectral aproxima-se da curva V(λ) do CIE (Comissão Internacional de Iluminação) e da sensibilidade espectral do olho humano entre 380 e 760 nm.
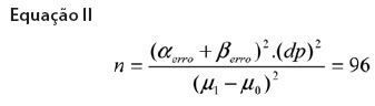
No cálculo da amostragem de medidas usou-se a equação II. O erro tipo I (α) aceitável foi no máximo de 0,05, o erro tipo II (β) foi no máximo de 0,05 e o poder de decisão (rejeição H0) foi maior que 95% em teste bicaudal. Baseando-se na precisão do fotômetro usado (dp 2,5) e considerando 1,0 lux (lx) diferença a ser detectada, encontrou-se a amostragem usada de 96 medidas (equação II) (em outras fórmulas avaliadas o resultado obtido foi de aproximadamente 162 medidas).

Foram realizadas medidas com o fotômetro em monitores CRT e TFT-LCD. Os dados coletados foram (tipo monitor), área da imagem (A) (equação III), intensidade de luz controlada pelo software (entre 0 a 255) e quantidade de Luz (em lux ou cd.sr/m2–SI [lx]). Foram analisados apenas dados gráficos acromáticos (preto e branco) do controle software-hardware do monitor.

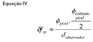
Foi usado o fator angular do raio do estímulo oposto ao observador(δfxy) (em radianos) representado pela equação IV e composto pelas variáveis diâmetro de um pixel (Ø) (em metros), diâmetro pixel do estímulo (Ø) em pixel (unidades de pixel) e distância do estímulo observador(d) em metros. A dedução de α e δfxy deriva do Teorema das Razões e Proporções dos Triângulos Retângulos.

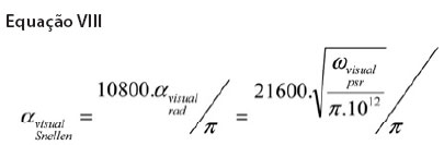
O hardware apresenta como constantes calibradas: o raio do pixel (com equivalência em metros, [r2] equação III) e a intensidade luminosa do pixel (com equivalência em lux, equação de calibração). O examinador controla a variável distância do examinado (d). O software controla as variáveis do diâmetro do estímulo (Ø) e a intensidade de luz (entre 0 e 255). O ângulo estímulo visual (α) em radianos e picoesferorradianos foi calculado pelas visual equações V e VI, sendo a opção adaptada, para correção das fórmulas usadas que desconsideram que imagens planas são projetadas em curva na retina. São unidades com propriedades correlacionáveis conforme equações VII.




O ângulo α Snellen deve ser multiplicado pela distância do examinado em pés (1 pé=304,8 mm); por exemplo, para a conotação 20/20 o primeiro termo é a distância em pés e o segundo termo o ângulo multiplicado pela distância. É importante salientar que a acuidade visual de Snellen é medida de forma negativa; ou melhor, fundo branco e letras pretas. Pode-se também correlacionar com ângulo visual padronizado pelo ETDRS (Early Treatment Diabetic Retinopathy) αlogMAR conforme equação IX.


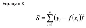
Para calibração da excitação luminosa do estímulo produzido pelo dispositivo, usou-se a regressão polinomial de segunda ordem calculada pelo Método dos Mínimos Quadrados. Para se obter tal função, nós supomos que a função f é de uma forma particular, contendo alguns parâmetros que necessitam ser determinados. Por exemplo, supor que ela é quadrática, significa que f(x) = ax² + bx + c, onde a, b e c não são conhecidos. Portanto, os valores procurados de a, b e c que minimizam a soma dos quadrados dos resíduos (equação X).

Ao conhecer os valores a, b e c da função polinomial do monitor f(x) = ax² + bx + c obteremos a equação de calibração para quantificar em candelas a quantidade de luz emitida pelo estímulo mínimo visível encontrado.
Ao estudar o funcionamento da visão humana é esperado, que depois de determinada exposição do olho a luz, ocorram reações fotoelétricas retínicas associadas ao fenômeno sensorial visual. Com a possibilidade de quantificação precisa do estímulo luminoso da fonte emitente (neste caso o dispositivo de hardware) associada à despolarização inicial ou do mínimo visível podemos quantificar em candela (cd) a intensidade luminosa retínica.
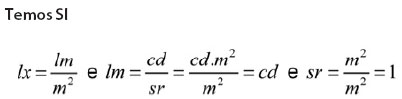
Lux (lx) é uma unidade secundária do SI, derivada da unidade de base candela (cd). Foi usado um fotômetro para calibração em lx. A candela é a intensidade luminosa, em determinada direção, de uma fonte que emite radiação monocromática na frequência de 540 x 1012 hertz e que tem intensidade radiante na direção de 1/683 watt por esferorradiano (sr). Esferorradiano é um ângulo sólido (m2.m-2= 1). Radiano e esferorradiano podem ser usados em expressões de unidades derivadas. Entretanto, na prática, esses símbolos rad e sr são usados, mas suas derivadas que possuem unidade "1" geralmente são omitidas.
A fonte de estímulo padrão ou superfície emitente possui conhecidas: a área (AM em m2) e a excitação ou emissão luminosa "emittance" (MV em lx). Na retina ou superfície iluminada podemos estimar a iluminação "illuminance" (EV em lx), entretanto, desconhecemos a área iluminada (AE em m2, c'_b' na Figura 4).

Após a calibração adequada do dispositivo conforme mostrado na equação X. O monitor é controlado pelo software com uma excitação luminosa (x) de 0 a 255 que corresponde a uma função f(x) = ax² + bx + c (f(x) em lx), onde a, b e c são constantes conhecidas do aparelho e calibradas pelo fotômetro. Possuindo o resultado do ponto de corte visual do examinado, teremos o fluxo luminoso (F em lúmen) e intensidade luminosa visível (I em picocandela) conforme a Equação XI.

Apenas para exemplificação, um estímulo circular de raio de 200 pixel em um determinado monitor produz a 10 cm a intensidade luminosa de duas velas ou 2 cd. O olho humano excepcional teoricamente é capaz de detectar aproximadamente 0,000005ncd ou 0,005pcd.
RESULTADOS
Foram realizadas 35 versões de software durante o período de 2 anos. Foram realizados testes piloto a cada nova plataforma. O objetivo era alcançar a plataforma mais simples, mais rápida e precisa. Tentativas para eliminar a presença do examinador, diminuir o controle do examinador, aleatorização dos procedimentos, controles por tempo (não manuais), não foram aprovadas nos testes piloto.
O objetivo de simplicidade foi alcançado verificando o pequeno número de variáveis de controle, o pequeno número de equações de processamento e a facilidade de controle do estímulo padrão. O objetivo de rapidez do teste psicofísico foi alcançado e verificado pela diminuição do tempo de teste em relação às plataformas de software anteriores, ficando entre 1 e 5 minutos dependendo do examinador e examinado. O objetivo de precisão foi verificado por resultados da observação experimental nos testes piloto. Entre algumas medidas, a reprodutibilidade observada era de menos de 2 pontos gráficos no raio do círculo do estímulo na medida do Mínimo Visível, mesmo quando realizada por diferentes examinadores no mesmo examinado.
O resultado prático foi a obtenção de um número (em cd) representativo da quantidade de luz do estímulo no final do teste psico-físico (Gráfico 1). A medidas em voluntários variaram entre 0,7 e 11 picocandelas. Como o objetivo de criação era apenas teórico, inicialmente, os testes piloto foram observacionais e não controlados.
Os monitores CRT e LCD mostraram ser confiáveis, constantes e eficazes na produção mensurável de um estímulo luminoso; portanto, podem ser usados para produção de um estímulo luminoso para a finalidade de medida da visão. Entretanto, cada dispositivo deve ser previamente calibrado.
As medidas de calibração foram realizadas em diferentes monitores para achar a, b e c da função de calibração f(x) = ax² + bx + c, regressão polinomial específica de cada monitor. Na avaliação dos monitores o nível de correlação de Pearson encontrado (R2=0,999; p<0,001) entre as medidas em lux e o sistema de controle do software (0-255) foi maior que 99,9%, não sendo necessárias mais de 6 medidas para manter precisão na calibração. O ajuste de c=0 deve ser realizado descontando a iluminação "background".
DISCUSSÃO
A medida da visão pelo mínimo visível é uma ferramenta útil tanto na prática clínica como na realização de pesquisas oftalmológicas. A técnica apresentada facilita e expande esse uso. A discussão da importância da intensidade de luz e da aberrometria na medida da visão é referenciada em ampla revisão da acuidade visual(5), apesar de não existirem muitas publicações sobre o estudo iluminância do objeto.
Para qualquer sistema de medida com um valor teórico verdadeiro esperamos encontrar variação (ou erro) sistemática, variação aleatória, variação biológica e erro de medida (Gráfico 2). Independente do processo de medida, os erros são esperados também no método apresentado.

Apesar de qualquer medida nunca ser destituída de erro, ela é capaz de definir limites dentro dos quais os valores reais se encontram. A redução ao mínimo tolerado do intervalo de erro (ou variação), evidentemente, depende de avanços tecnológicos no instrumental de medição e caso incorporada ao método apresentado também será importante. A calibração do dispositivo pode ser aprimorada e pode favorecer ao erro(6).
Na história da humanidade criaram-se incomensuráveis unidades de medidas baseadas em critérios físicos. Para organizar essa panacéia, criou-se o Sistema Internacional de Medidas (SI) com unidades principais e unidades derivadas. Todos os métodos de medida existentes, através de testes psicofísicos, desrespeitam o SI, apesar de aprimorados através de escala logarítmica(7).
A medida da visão em cd é uma possibilidade fomentar a discussão científica sobre os testes de medida da acuidade visual (AV), e as inúmeras conotações que vem sendo empregadas e publicadas por inúmeros autores(1,7-22). Para uso da unidade cd sugerimos o emprego do submúltiplo picocandela (pcd); pois esse submúltiplo (x10-12) é mais apropriado na avaliação de indivíduos normais. A visão como todos os sentidos tem resposta exponencial aos estímulos. O emprego da escala logarítmica com a unidade pcd (log pcd) também pode ser útil para avaliação linear da resposta psíquica.
Os métodos disponíveis baseados apenas em optotipos possuem o viés do modelo, do tipo, da forma e da sua disposição gráfica. Além da visão, a interpretação do optotipo é influenciada por um maior número de fatores psicofísicos.
O padrão de medida atual pode ter seu resultado alterado por aberrações de baixa e alta ordem, podendo comprometer resultados de pesquisas científicas. A evolução das análises computadorizadas (aberrometria) do sistema óptico facilita também a incorporação de novas abordagens de medida da qualidade de visão. O método apresentado facilitará apreciação de dados para quantificar e qualificar a visão; pois, quantifica a intensidade mínima necessária para visualizar o pico da PSF (point spread function) e a região central do Disco de Airy (Figura 1).
CONCLUSÃO
O objetivo alcançado foi desenvolver um método e um dispositivo para quantificar a visão em candelas. Mesmo depois da conferência internacional de pesos e medidas de Paris de 1961, a ciência oftalmológica clínica resiste em adotar as unidades de medida do SI. Essa adoção permitirá extrapolar medidas para modelos matemáticos e para simular efeitos, que de outro modo, seriam impraticáveis na pesquisa clínica.
Uma das consequências da técnica é simplicidade, facilitando a compreensão da importância do processamento neural na qualidade visual e quantificando a função de transferência óptica subjetiva do olho humano. Respostas importantes no entendimento da acuidade visual humana serão advindas da quantificação mínima necessária dos objetos observados.
REFERÊNCIAS
1. Kronbauer AL, Schor P, Carvalho LA. [Vision measurement and psychophysical tests]. Arq Bras Oftalmol. 2008;71(1):122-7. Portuguese
2. Leek MR. Adaptive procedures in psychophysical research. Percept Psychophys. 2001; 63(8):1279-92.
3. Taylor BN, editor. The International System of Units (SI) [Internet]. Washington, DC: National Institute of Standards and Technology; 1998. (NIST Special Publication 330).77p. [cited Jan 2001 12]. Available from: http://www.checklist.org.br/d/internationalsystemofunits.pdf
4. Treutwein B. Adaptive psychophysical procedures. Vision Res. 1995;35(17):2503-22.
5. Kniestedt C, Stamper RL. Visual acuity and its measurement. Ophthalmol Clin North Am. 2003;16(2):155-70. Review.
6. Strasburger H, Wüstenberg T, Jäncke L. Calibrated LCD/TFT stimulus presentation for visual psychophysics in fMRI. J Neurosci Methods. 2002;121(1):10310.
7. Williams MA, Moutray TN, Jackson AJ. Uniformity of visual acuity measures in published studies. Invest Ophthalmol Vis Sci. 2008;49(10):4321-7.
8. Holladay JT. Visual acuity measurements. J Cataract Refract Surg. 2004;30(2):287-90.
9. Bicas HEA. Mensurações em ciência. Arq Bras Oftalmol. 2003;66(4):531-7.
10. Bicas HEA. Acuidade visual: medidas e notações. Arq Bras Oftalmol. 2002;65(3):375-84.
11. Early Treatment Diabetic Retinopathy Study design and baseline patient characteristics. ETDRS report number 7. Ophthalmology. 1991;98(5 Suppl):741-56.
12. Hyvarinen L, Nasanen R, Laurinen P. New visual acuity test for pre-school children. Acta Ophthalmol (Copenh). 1980;58(4):507-11.
13. Ferris FL 3rd, Kassoff A, Bresnick GH, Bailey I. New visual acuity charts for clinical research. Am J Ophthalmol. 1982;94(1):91-6.
14. Bailey IL, Lovie JE. New design principles for visual acuity letter charts. Am J Optom Physiol Opt. 1976;53(11):740-5.
15. Taylor HR. Applying new design principles to the construction of an Illiterate E chart. Am J Optom Physiol Opt. 1978;55(5):348-51.
16. Sloan PG. Examining the examination. Am J Optom Physiol Opt. 1976;53(12):759-60.
17. Snellen H. Letterproeven tot Bepaling der Gezichtsscherpte. Utrecht, Weyers. 1862.
18. Bureau International des Poids et Mesures. General conference on weight and measures adopted the name International System of Units. Paris; BIPM; 1961.
19. World Health Organization. Prevention of blindness & deafness. Consultation on development of standards for characterization of visual loss and visual functioning [Internet]. Genebra: World Health Organization; 4-9 sept 2003. (WHO/PBL/03.91). [cited 2010 Nov 20]. Available from: http://whqlibdoc.who.int/hq/2003/WHO_PBL_03.91.pdf
20. Dalimier E, Pailos E, Rivera R, Navarro R. Experimental validation of a Bayesian model of visual acuity. J Vis. 2009;9(7):12.
21. Marcos S, Sawides L, Gambra E, Dorronsoro C. Influence of adaptive-optics ocular aberration correction on visual acuity at different luminances and contrast polarities. J Vis. 2008;8(13):1.1-12.
22. Thibos LN, Hong X, Bradley A, Applegate RA. Accuracy and precision of objective refraction from wavefront aberrations. J Vis. 2004;4(4):329-51.
Correspondence address:
Airton Leite Kronbauer.
Rua Coronel Bordini, 414
Porto Alegre - RS
CEP: 90440-002
Brazil
E-mail: [email protected]
Submitted for publication: August 2, 2010
Accepted for publication: January 24, 2011
Study carried out at the Departamento de Oftalmologia, Pós-Graduação em Oftalmologia da Universidade Federal de São Paulo - UNIFESP - and at the Laboratório de Física Óptica Oftálmica, Instituto de Física de São Carlos - IFSC, Universidade de São Paulo - USP.
Funding: No specific financial support was available for this study.
Disclosure of potential conflicts of interest: A.L.Kronbauer, None; P.Schor, None; W.Chamon, None; L.A.V.Carvalho, None.