INTRODUCTION
Traditionally, penetrating keratoplasty (PK) has been indicated to treat keratoconus(1). It is a well-established procedure that provides satisfactory visual outcomes as evidenced by several studies(2,3). However, in recent years, deep anterior lamellar keratoplasty (DALK) has been used as a safer alternative to PK. DALK consists of replacement of the anterior portion of the recipient's cornea up to the posterior limit of Descemet membrane (DM) with donor corneal tissue(4). This procedure has been shown to reduce the long-term risk of rejection and failure of the donor graft because it avoids unnecessary replacement of the host's healthy endothelium(5).
Fewer complications arise from use of the DALK technique in comparison to traditional penetrating keratoplasty (PK), which may result in the development of anterior synechiae, secondary glaucoma, endophthalmitis, retinal detachment, and cystoid macular edema(6). It also offers improved ocular structural integrity against blunt trauma, since DM remains intact(7,8). In addition, a wider selection of donor corneal tissue may be available(7,9).
Use of the big-bubble technique during DALK allows deeper dissection of the anterior corneal stroma and is known to provide enhanced visual outcomes(9,11). However, this lamellar technique involves a long learning curve, which can pose a challenge for many corneal surgeons(10).
Several studies have shown that visual acuity (VA) in patients with keratoconus after DALK with the big-bubble technique are similar to that of those who underwent PK(12-18), yet there is little published data with respect to preparation of the donor corneal button. Some authors have suggested that removing the endothelium of the donor corneal graft results in an improved interface(19-21). Hallermann removed the endothelial layer and the DM of donor corneas in order to avoid inflammatory reactions, as well as to reduce the possibility of interface scarring or wrinkling. Anwar suggested that by removing the endothelium and DM, a smooth surface of the posterior stroma could better be preserved(7).
However, during the tissue preparation process, the removal of donor endothelium may cause mechanical trauma to the donor button, resulting in surface irregularities and interface scarring and, consequently, worse visual outcomes. Feizi et al. conducted a study using confocal microscopy to compare cellular changes in corneal tissue following DALK versus PK in keratoconic eyes. These authors concluded that keratocyte density was reduced following DALK and further suggested that the mechanical trauma secondary to the removal of the donor corneal endothelium may have a deleterious effect(18). In a recent retrospective confocal study evaluating transplanted corneas with the DM left intact, the authors described keratocyte profiles and distributions in the transplanted corneas similar to those they found in normal corneas. In contrast, when the DM was removed, they reported significant changes in cellular graft profiles(19). A further advantage of leaving the donor DM intact is that, in the event of a double anterior chamber due to a micro- or macroperforation of the recipient DM, transplantation can still be performed without compromise of the donor graft.
Comparative studies found no significant differences after DALK in VA and contrast sensibility, irrespective of whether the donor endothelium was removed or left attached(20-23). The present study aimed to evaluate visual outcomes in patients with keratoconus undergoing DALK using full-thickness donor endothelial grafts.
METHODS
Charts from 255 consecutive patients with keratoconus undergoing DALK using the big-bubble technique from January to November 2009 at the Sorocaba Eye Hospital (Sorocaba, Brazil) were reviewed. The records of those who received a donor cornea with the DM and endothelium intact were included in the study. The patients mostly had keratoconus stage III or IV, with no history of other clinical or surgical procedure, such as contact lenses or intrastromal corneal rings. Records of patients without complete data or who had complications during the surgical procedure, such as perforation of the recipient DM, were excluded from the analysis.
All surgical procedures were performed under retrobulbar or general anesthesia using the big-bubble technique. Partial thickness trephination was performed, and a 30-gauge needle attached to an air-filled 3 ml plastic syringe was inserted bevel-down at the peripheral trephination and advanced centripetally just above the DM. Air was injected in order to create a plane of cleavage between the DM and the posterior stroma. Paracentesis was then performed to lower intraocular pressure. A 15-degree slit knife was inserted into the large bubble, allowing air to escape and thereby collapsing the bubble. Cornea scissors were used to divide the anterior stroma into four sections by cutting each quadrant at the edge of the trephination. The stroma was removed, exposing the DM.
Donor corneas were trephined to a final size 0.25 mm larger than the recipient's button. In all cases, the DM and endothelium were left attached to the donor cornea. The donor button was sutured in place using 16 10-0 nylon interrupted sutures. All surgeries were performed by one of eight different surgeons, who were all second-year cornea service fellows.
Postoperative medication included moxifloxacin eye drops every 6 h until full corneal epithelialization, as well as 1% prednisolone eye drops every 2 h, then tapered over subsequent weeks. All individuals were asked to return to evaluate final VA while wearing rigid gas permeable contact lenses. VA was measured using the Early Treatment Diabetic Retinopathy Study (ETDRS) chart.
Patient characteristics including age, gender, and preoperative uncorrected VA (UCVA) and spectacle-corrected VA (SCVA) were recorded. UCVA, endothelial cell density, and keratometry values were evaluated at 7, 30, 180 days, and 1 year postoperatively. The occurrence of graft rejection was also reported.
All individuals included in the study had been contacted by letter requesting their return at least 1 year after DALK procedure to test SCVA and VA using rigid gas-permeable contact lenses (CLVA). VA data were converted to logMAR (logarithm of the minimum angle of resolution) for statistical analysis. Pre- and postoperative VA measurements were compared using the Wilcoxon signed rank test. Analyses were performed using Stata v.11 software (College Station, Texas), and p values <0.05 were considered statistically significant.
RESULTS
A total of 90 eyes from 90 individuals met the inclusion criteria and were included in the study. Mean (± standard deviation [SD]) age was 24.6 (± 9.0), and 53.3% were male.
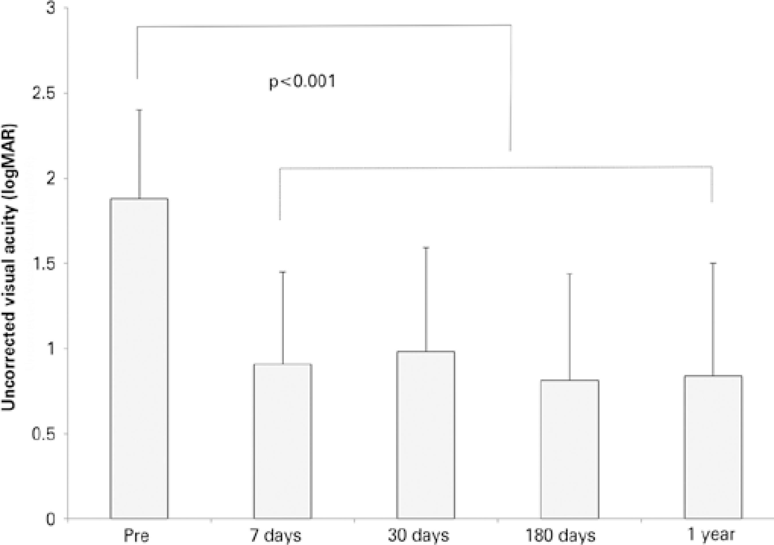
The preoperative mean (± SD) UCVA was 1.88 (± 0.52) logMAR (Snellen, 20/1500) compared with post-operative UCVA at 7 days (0.91 [± 0.54], 20/160, p<0.001), 30 days (0.98 [± 0.61], 20/190, p<0.001), 180 days (0.81 [± 0.63], 20/130, p<0.001), and 1 year (0.84 [± 0.66], 20/140, p<0.001) (Figure 1).

Figure 1 Mean uncorrected visual acuity before and at various times after deep anterior lamellar keratoplasty without removal of the donor Descemet membrane and endothelium.
The preoperative SCVA of 0.57 (± 0.25) LogMAR (Snellen, 20/70), improved after 1 year to 0.22 (± 0.21) (Snellen, 20/32, p<0.001). Similarly, a significant improvement was also seen when compared to 1 year-postoperative visit CLVA (0.11 [± 0.09], 20/25, p<0.001) (Figure 2).

Figure 2 Mean preoperative spectacle-corrected visual acuity (SCVA) and SCVA and contact lens-corrected visual acuity (CLVA) 1 year after deep anterior lamellar keratoplasty without removal of the donor Descemet membrane and endothelium.
Pre- and postoperative average keratometry were 60.9 ± 7.1 D and 45.3 ± 5.7 D, respectively (p<0.001). Postoperative endothelial cell density was 2550.4 ± 436.6 cells/cm2.
Graft rejection was not seen after up to 48 months of follow-up in this population.
DISCUSSION
The present study evaluated VA after performing DALK surgery without removing the donor endothelium. Postoperative BCVA scores were improved over preoperative values in all patients. These visual outcomes are comparable to results obtained in other studies using the big-bubble technique but involving the removal of the donor endothelium(15,16,23).
The incidence of graft rejection following DALK has been reported to range from 0% to 9.6% in various series(13,24,25). This is significantly lower than the reported rates of 4%-31% following PK in patients with keratoconus(25,26). We found no instances of graft rejection at 48 months of follow-up in our patients. It has been suggested that retaining the donor DM and endothelium might increase the antigenic load of the corneal graft(20). Our results demonstrate that this does not appear to be a problem.
A recently conducted clinical trial comparing visual outcomes in patients undergoing DALK with and without removal of the donor DM and endothelium had results similar to ours(22).
We understand that the retrospective, non-comparative nature of this study has limitations. Nonetheless, the authors feel that it makes a contribution to current knowledge by increasing the number of keratoconic eyes evaluated with respect to BCVA after DALK using the big-bubble technique while leaving the donor DM and endothelium intact.
In conclusion, DALK utilizing donor corneas with DM and endothelium left attached is a viable alternative to endothelial removal, as patients with keratoconus obtain satisfactory VA after this procedure.
English PDF
Print
Send this article by email
How to cite this article
Submit a comment
Mendeley
Scielo
Pocket
Share on Linkedin

