Open Access Peer-Reviewed
Editorial

Cirurgias de músculos retos horizontais: análise de planejamentos e resultados

Surgeries of the horizontal recti muscles: analysis of plannings and results

Rosália M. Simões Antunes Foschini; Harley E. A. Bicas

DOI: 10.1590/S0004-27492001000600006

RESUMO

Objetivo: Estudo retrospectivo dos resultados de cirurgias para correção de estrabismo horizontal num hospital-escola. Métodos: Selecionados casos de eso ou exotropias aproximadamente concomitantes, sem sinais evidentes de paralisias musculares ou de processos de contenção das rotações oculares, em que se realizaram, apenas, cirurgias de recuo dos retos mediais (grupo A), ou laterais (grupo C), ou de recuo e ressecção em esotropias (grupo B), ou exotropias (grupo D), com ou sem transposições das inserções dos músculos operados. Resultados: Esotropias foram mais freqüentes que exotropias (nA = 66; nB = 28; nC = 27; nD = 22) e cirurgias com transposições (96) superaram as sem (47). A distribuição dos ângulos pré-operatórios (m = 42,49D, s = 11,68D nas esotropias; m = 35,39D; s = 9,93D nas exotropias) e a das correções obtidas (m = 38,95D, s = 13,57D nas esotropias; m = 31,64D, s = 14,58D nas exotropias) são praticamente equivalentes e, além disso, altas correlações foram observadas entre o ângulo pré-operatório e a quantidade da operação respectiva. Todavia, as correlações entre os ângulos pré-operatórios e os resultados proporcionais da cirurgia (em D/mm) foram, todas, baixas. As quantidades de correções adequadas quando considerados ângulos residuais de desvio de ±5D, ±10D e ±15D, foram respectivamente de 31,9%, 62,8%, e 80,8% nas esotropias e 40,8%, 55,1% e 73,5% nas exotropias. Conclusões: Embora planejamentos cirúrgicos e suas execuções produzam resultados coletivos satisfatórios, os individuais mostram ainda uma imprevisibilidade muito alta.

Descritores: Músculos oculomotores; Estrabismo; Hospitais universitários; Estudos retrospectivos; Procedimentos cirúrgicos oftalmológicos; Movimentos oculares

ABSTRACT

Purpose: Retrospective study of surgical results of the correction of horizontal strabismus in a University Hospital. Methods: In selected cases of comitant eso- and exotropias, without signs of oculomotor paralyses or restricted ocular rotations, surgeries of: recessions of both medial recti (group A), or both lateral recti (group C) were performed, recession-resection for esotropias (group B) or for exotropias (group D), with or without transpositions of the respective muscular insertions. Results: The number of esotropias was greater than that of exotropias (nA = 66; nB = 28; nC = 27; nD = 22) as well as surgeries in which transpositions were done (96) surpassed surgeries without transpositions (47). The distributions of the preoperative angles (m = 42.49D, s= 11.68D for esotropias; m= 35.38D, s= 9.93D for exotropias) and of the respective obtained corrections (m = 38.95D, s = 13.57D for esotropias; m = 31.64D, s = 14.58D for exotropias) were practically equivalent. In addition, high correlations were observed between the pre-op angles and the amount of the respective operations. However, the correlations between the pre-op angles and the proportional results of the surgeries (given in D/mm) were always low. The amount of corrections when residual angles of ±5D, ±10D and ±15D were considered reached respectively 31.9%, 62.8% and 80.8% for esotropias, and 40.8%, 55.1% and 73.5% for exotropias. Conclusions: Although the surgical plans and the respective operations give satisfactory results in a general analysis, the individual outcomes are highly unpredictable.

Keywords: Oculomotor muscles; Strabismus; University hospitals; Retrospective studies; Ophthalmologic surgical procedures; Eye movements

INTRODUÇÃO

Ainda que a maior parte dos estrabismos tenha como causa um distúrbio do comando oculomotor, isto é, um fator relacionado ao sistema nervoso central, a respectiva correção objetiva mudar as posições, comprimentos e tensões dos músculos oculares externos referentemente ao olho, para que suas respostas se tornem adequadas, "normais". Daí a velha tentação de buscar fórmulas(1) que traduzam, mecanicamente, mudanças de comprimen-to e ou inserções musculares sobre o olho, com efeitos no posicionamento ocular.

Mas isso não é fácil, nem mesmo sob um ponto de vista estritamente teórico. É claro que, para um olho de tamanho comum, isto é, com perímetro de aproximadamente 76 mm, pode-se dizer que cada 1 mm de arco em sua superfície equivale a 4,74º (ou 8,29D). Isso significa que, se todas as estruturas do olho fossem mudadas em 1 mm num dado sentido (por exemplo, horário), o efeito rotador esperado deveria ser esse. Mas essa mudança completa é desaconselhada (desinserções de três músculos retos de um mesmo olho já são contra-indicadas pelos danos às artérias ciliares anteriores e a possível isquemia do segmento anterior do olho). O mais provável é que se chegue a realizar o retrocesso de inserção de um músculo e o avanço (ou ressecção) de seu antagonista, com uma resposta que deveria ser necessariamente menor do que essa anteriormente calculada. Um procedimento ainda mais simples, como o recuo único de inserção muscular, deve dar então, paradoxalmente, menos previsibilidade quanto à correção (mecânica) do estrabismo, isto é, ficar mais sujeito a readaptações dos estímulos inervacionais aos outros músculos, não simultaneamente operados. Aliás, já é fato sabido que o uso rígido de uma correlação entre quantidade de um procedimento (e.g. milímetros de recuo de inserção muscular) e efeito obtido (variação do ângulo do estrabismo) não é mesmo possível para cada pessoa(2), embora fórmulas que a busquem sejam consciente ou inconscientemente empregadas em cálculos.

O presente estudo objetiva, exatamente, examinar o grau de previsibilidade de uma correção cirúrgica de estrabismo numa clínica dedicada a tal assunto (o Setor de Motilidade Ocular do Hospital das Clínicas da Faculdade de Medicina de Ribeirão Preto - Universidade de São Paulo _ F.M.R.P.U.S.P.) e com condições de experiência, planejamento e execução tidas como aceitáveis.

 

MÉTODOS

Foram estudados prontuários de pacientes operados para correção de estrabismos horizontais no H.C.R.P. nos anos de 1994 a 1997, com desvios relativamente comitantes, sem sinais evidentes de paralisias musculares ou fatores contensores das rotações oculares, para deles serem retiradas informações sobre o ângulo pré-operatório do desvio, o procedimento realizado e o ângulo pós-operatório, após 3 a 6 meses da cirurgia em que dois músculos retos horizontais foram operados. Deixaram de ser analisados casos em que outros foram também operados (e.g., um terceiro e, ou um quarto músculo horizontal, para a correção de eso ou exotropias; ou pelo menos um reto vertical, ou um oblíquo, para a correção de componentes cicloverticais ou variações em "A" ou "V"). Nenhum dos estrabismos estava dentro de alternativas clínicas de tratamento ou acompanhamento (e.g., esotropias acomodativas puras, exotropias intermitentes).

Os planejamentos cirúrgicos foram decididos em reuniões clínicas com exame do paciente e considerando-se outros prévios (realizados por médicos assistentes ou residentes). Nessas reuniões de planejamento, sempre com pelo menos três membros mais experientes, foram estabelecidas propostas quantitativas (em função, principalmente, da magnitude de ângulo, componentes acomodativos e disfunções musculares associadas), mas com expressa delegação a alternativas de suas mudanças com base em exames feitos durante o ato cirúrgico. A operação foi sempre realizada por um médico assistente ou residente (de terceiro ano), considerando-se como quantidade de cirurgia o procedimento efetivamente realizado (não, necessariamente, o planejado).

Os dados colhidos foram subdivididos em grupos, conforme o procedimento realizado:

A) recuo de retos mediais para a correção de esotropias (grupo A);

B) recuo de reto medial e ressecção de reto lateral, num mesmo olho, para a correção de esotropias (grupo B);

C) recuo de retos laterais para a correção de exotropias (grupo C);

D) recuo de reto lateral e ressecção de reto medial de um mesmo olho, para a correção de exotropias (grupo D).

Com as informações obtidas dos prontuários foram correlacionados para cada grupo de estudo: o valor do ângulo de desvio antes da cirurgia (d, em dioptrias prismáticas), o da correção obtida (c, também em dioptrias-prismáticas), o da quantidade de cirurgia (q, em milímetros, pela soma simples do realizado nos procedimentos, independentemente de suas naturezas) e o da relação "c/q". A distribuição dos dados foi feita de modo a se obter para cada grupo a equação da linha reta de regressão e o valor da respectiva correlação.

Análises da primeira correlação (entre "d" e "c") permitem uma avaliação rápida e direta sobre correções exatas (normocorreções) e as efetivamente obtidas (eventualmente sub ou supercorreções). Entretanto, foram também considerados intervalos de 5D, 10D e 15D para enquadramentos dos valores da correção obtida (interpretando-se-a como "boa" a diferença absoluta entre d e c, achada entre zero e o intervalo atribuído; ou "má", quando fora dele).

 

RESULTADOS

Nessa amostra, as idades variaram entre 1 e 48 anos (m = 14, 05, s = 10,16). Nas esotropias, m = 12,03 e s = 9,73; nas exotropias, m = 17,92 e s = 9,92.

Planejamentos

Pôde-se constatar que os diferentes planejamentos quantitativos nessa casuística, seguiram, aproximadamente, fórmulas empíricas pelas quais se pressupunha um valor de correção angular, em dioptrias-prismáticas (P¢), em função de quantidades, em milímetros, de cirurgia realizada no reto medial (i) ou no lateral (e). Por exemplo:

a) Para esotropias, em casos de recuos simples (ainda que bilaterais), a fórmula estaria simplificada para P¢ = 3i (ou 4i em ângulos grandes). Assim, duplos recuos de 6 mm dariam cerca de P¢ = 36D.

b) Para esotropias, correções de 3D /mm em recuos de reto medial (i) em ângulos "médios" e "grandes" (até umas 50D) ou 4D/mm para os "muito grandes" e 2D/mm em ressecções de reto lateral (e), adicionando-se mais 1/3 do total em casos de recuo e ressecção serem associados no mesmo olho. Então, para um desvio até umas 50D, (3 i + 2 e) 4/3 = P¢, onde P¢ seria o ângulo a corrigir. Por exemplo, para um recuo de 5 mm do reto medial (i = 5) e uma ressecção de 9 mm de seu antagonista (e = 9), resultaria P¢ = (15 + 18) 4/3 = 44D.

c) Nas exotropias, nos duplos recuos de retos laterais, o cálculo seria P¢ = -2Dw (onde w é a soma dos recuos em cada lado). Por exemplo, recuos de 11 mm de cada reto lateral, corrigiriam -44D.

d) Nas exotropias, nos recuos e ressecções, os valores geralmente usados foram de correções de 2D/mm em recuos do reto lateral (e) e de 2D/mm em ressecções do reto medial (i) com adição de 25% para a associação no mesmo olho. Assim, P¢ = (-2e -2i) 5/4 = -2,5 (e + i) = -2,5w. Por exemplo, para um recuo de reto lateral de 12 mm e uma ressecção do reto medial (antagonista direto) de 6 mm, P¢ = (-2 12) + (-2 6) = (-24 - 12) 5/4 = -45D.

Nessa casuística foram muito comuns as operações de transposições musculares, usadas para correção de pequenos desvios verticais associados e de pequenas incomitâncias em A ou V, sem disfunções significativas dos músculos cicloverticais. Por essa técnica, a reinserção do músculo se faz fora do plano original de sua ação (em posição primária), isto é, fora do trajeto que ele antes ocupava sobre o olho. Para um músculo reto horizontal normal a transposição consiste em repô-lo acima, ou abaixo, de seu plano de ação (plano horizontal do olho). Obviamente, então, enquanto componentes vetoriais de ação vertical e torcional passam a ser esperados, o horizontal diminui: transposições aumentam o efeito de um recuo e diminuem o de uma ressecção. Por essa razão, as cirurgias com transposições musculares (entre 6 e 11 mm) foram então consideradas à parte, constituindo subgrupos. Observa-se que o número de casos em que as transposições de inserções foram feitas é, aproximadamente, o dobro do em que a cirurgia foi "simples" (Tabela 1).

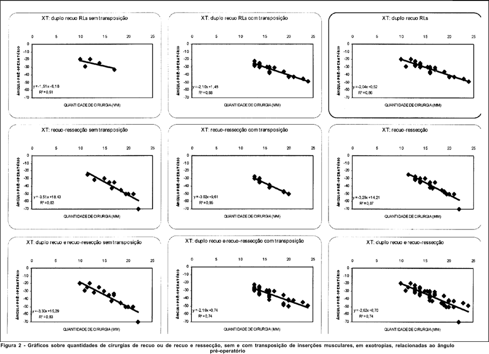
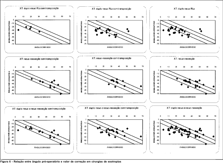
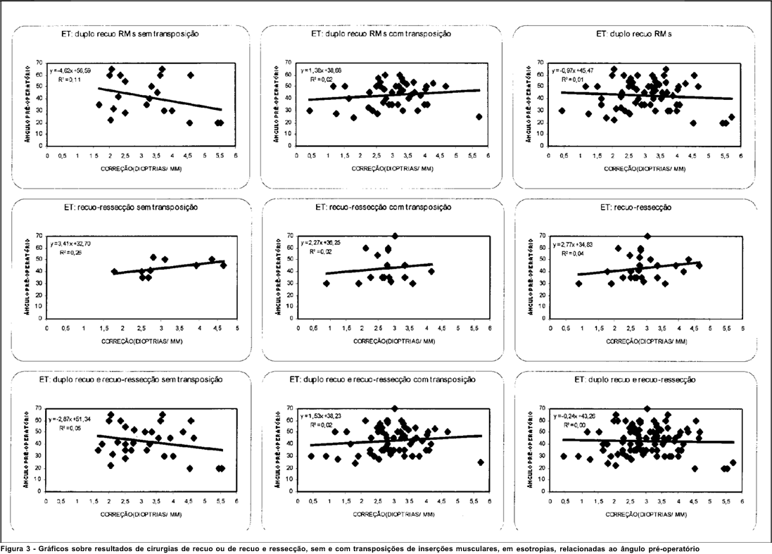
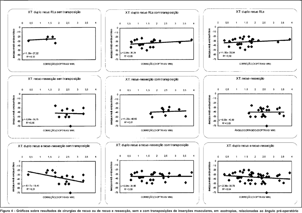
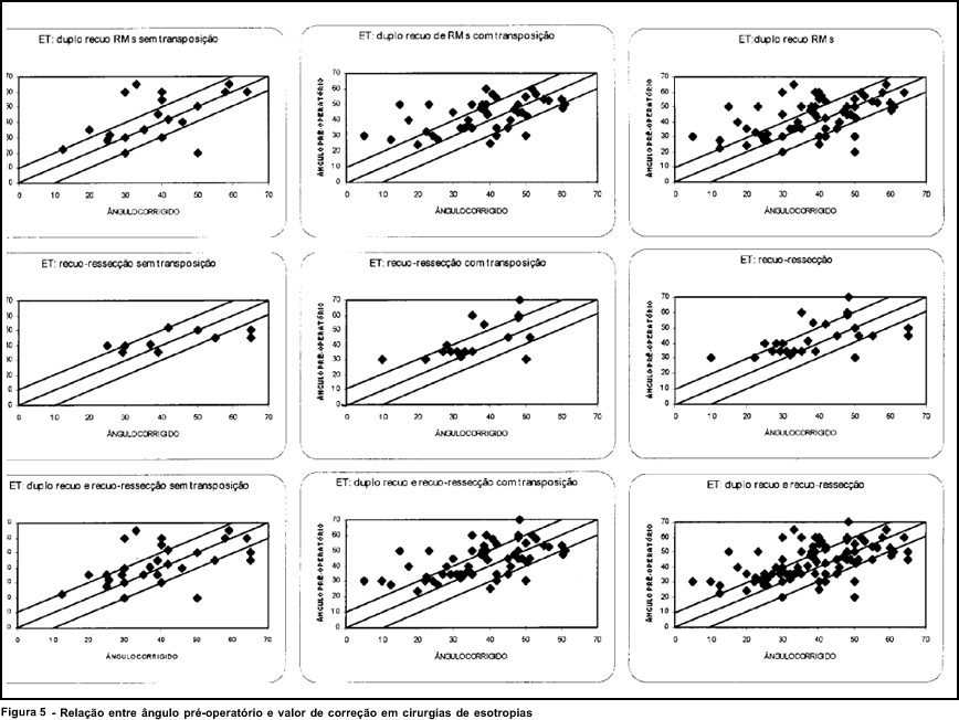
A distribuição dos casos, conforme os dados da execução cirúrgica (soma, em milímetros, dos procedimentos), os do resultado da operação (relação de dioptrias-prismáticas de correção por milímetro executado) e os de magnitude da correção, todos relacionados ao ângulo pré-operatório, em dioptrias-prismáticas (em ordenadas) são apresentados, respectivamente, nas figuras 1 e 2, 3 e 4, 5 e 6.

Para as duas primeiras condições, as equações das retas, tomadas como linhas de regressão (das execuções cirúrgicas e dos resultados) são apresentadas nas tabelas 2 e 3.

Finalmente, a tabela 4 mostra os parâmetros estatísticos das distribuições de valores angulares dos desvios e de suas respectivas correções.

 

DISCUSSÃO

Não há, especificamente, um consenso sobre qual seja o intervalo temporal, depois de uma cirurgia, para uma avaliação "precoce" de seus resultados. O prazo "curto" ou "médio", entretanto, deve ser tal que as condições imediatamente relacionadas às alterações estruturais produzidas pela cirurgia sejam praticamente superadas, enquanto as funcionais (sensoriais e neuromotoras) não estejam, ainda, bem estabelecidas. Arbitrariamente, períodos de 3 a 6 meses parecem os mais apropriados para essas avaliações.

A maior casuística de cirurgias para correção de esotropias (94 contra apenas 49 de exotropias) está de acordo com a maior prevalência desse tipo de estrabismo em nosso meio e em outras regiões(3). O número relativamente alto de transposições musculares dos retos horizontais operados (63/94 nas ET e 33/49 nas XT) explica-se, também, pela quantidade grande de associações com desvios verticais pequenos(4) e ou variações do desvio horizontal no plano sagital (em "V" ou "A"), sem disfunções importantes de oblíquos que justificassem operá-los. De fato, tanto pequenos desvios verticais, quanto variações em "A" ou "V" pouco acentuadas podem ter suas correções beneficiadas por tais procedimentos(4-5) bastante convenientes, pois evitam cirurgias mais demoradas e intervenções em outros músculos. Uma leve preferência pelas transposições musculares nas cirurgias de duplo recuo dos retos horizontais (68,2% nas ET e 81,5% nas XT) em comparação com as de recuo-ressecção (64,3% nas ET e 50,0% nas XT), mostrou-se significativa nas XT (0,025 > p > 0,010) mas não nas ET (0,2 > p > 0,1).

A) Planejamentos

Correlações geralmente bem altas foram notadas entre os ângulos de estrabismo e os planejamentos para corrigi-los, sendo geralmente maiores nas exotropias (mais nas cirurgias de recuo e ressecção que nas de recuos simples). Isso confirma a tendência à aplicação de cálculos ou fórmulas(1), levando a quantidades de procedimentos bem relacionadas à magnitude do desvio. Mas sem rigidez na aplicação desses cálculos, tanto que as correlações não são de 100%. Isto não é de estranhar, pois a casuística constituída, eliminando fatores complicadores (contenções, paralisias) e sendo aproximadamente homogênea (ângulos não muito grandes ou pequenos), deveria, aparentemente, requerer, mesmo, correções não muito discrepantes. Mas em alguns casos, como o das cirurgias de duplo recuo de retos laterais (Grupo C) e as de recuo mais ressecção nas esotropias (Grupo B), sem transposições de inserções, as correlações são, até, relativamente baixas, talvez pelo número pequeno dessas cirurgias.

O fator "idade", embora possa ser importante no tratamento dos estrabismos, não foi preferencialmente considerado, mesmo porque, para enfoques genéricos e mecanicistas, como o do presente estudo, olhos de crianças com idades ao redor de 3 ou 4 anos já não são de tamanhos muito diferentes dos de um adulto(6).

De qualquer modo, a relação entre ângulos pré-operatórios e as propostas de correção ou suas execuções foram bem consistentes. Para esotropias consideradas em conjunto, a relação entre ângulo pré-operatório (P) e quantidade (em milímetros, x), de recuo e ou ressecção seguiu a equação linear y = 4,28 x - 12,87, com uma correlação de R2 = 0,7466 (Tabela 2, A + B). A maior correlação encontrada foi a para os casos de recuo e ressecção, com transposições das inserções (C = 100 R2 = 79,50%) e a menor para os casos de recuo e ressecção, sem transposições de inserções (C = 50,25%). Para as exotropias, de maneira geral, a equação linear relacionando ângulo pré-operatório (y) e quantidade de cirurgia (x), foi y = -2,62x + 6,70, com uma correlação C = 74,27% (Tabela 2, C + D), sendo a maior correlação encontrada para os casos de recuo e ressecção, com transposições de inserções (C = 95,27%) e a menor para os casos de duplo recuo, sem transposições de inserções (C = 51,24%).

B) Índices relativos de correção

As figuras 3 e 4, mostrando linhas retas de regressão aproximadamente paralelas ao eixo das abscissas (valor da correção em D/mm) e os respectivos valores numéricos relacionados a x (Tabela 3) bem próximos a zero, sugerem independência entre a magnitude pré-operatória do ângulo de estrabismo (eixo das ordenadas) e o montante relativo da correção obtida. Isto é, um resultado relativamente baixo (como 1,5D/mm) ou alto (como 5,5D/mm) pode ser gerado tanto por um estrabismo grande (e.g., 50D) como pequeno (e.g., 20D). Os baixos valores de correlação dos dados dessas linhas retas de regressão (Tabela 3, quase todos abaixo de R2 = 0,10) confirmam essa independência.

Realmente, a correlação entre a magnitude do desvio e o resultado obtido da cirurgia para sua correção mostra índices muito baixos. Nas operações de recuo e ressecção para exotropias, por exemplo, aparece uma linha de regressão entre essas duas variáveis que independe, paradoxalmente, do montante (x) da cirurgia realizada (y = 0,03x - 40,0D, figura 4 e Tabela 3), ou seja, um valor praticamente constante de correção (40D) para qualquer uma delas. Obviamente, entretanto, essa conclusão é destituída de valor, já que a correlação das variáveis é baixíssima (R2 ~ 2.10-6).

Além disso, é de notar-se que os interceptos (valores de b, numa equação genérica y = ax + b) ficam em torno de 40 a 50D nas esotropias e pouco mais baixos ou altos, conforme os da inclinação (a) sejam positivos ou negativos, respectivamente. Nas exotropias, os interceptos são de aproximadamente 30 a 40D, tendendo a valores numericamente mais altos (mais negativos) ou baixos, conforme os da inclinação sejam positivos ou negativos. Tais valores de interceptos tendem a representar, nesses casos, os dos ângulos pré-operatórios.

C) Resultados específicos

Com leve tendência a subcorreção ("hipocorreção"), tanto nas eso como nas exotropias, a média de ângulos finais obtidos é muito próxima de zero, em cada uma das situações estudadas. No entanto, a variabilidade das medidas mostra a dispersão razoavelmente grande delas o que, aliás, é confirmado por outros autores(7). Bons resultados, tanto para eso quanto para exotropias, têm sido admitidos como podendo chegar a ângulos de até 20D como residuais pós-operatórios(8-9), o que, de certo modo, além de tolerância (consideração de que valores de até 20D de desvio residual possam ser bons), mostra a imprevisibilidade da correção cirúrgica(2,7, 9-12).

Na análise dos resultados cirúrgicos das esotropias, entre 94 pacientes, apenas 10 ficaram absolutamente normocorrigidos, isto é, sem qualquer ângulo residual (eixos visuais paralelos na fixação para longe); 20 apresentaram ângulos de sub ou supercorreções ("hipercorreções") de até 5D (respectivamente 14 e 6). Se a faixa de tolerância para ângulos remanescentes for ampliada para 10D, mais 29 são adicionados (respectivamente 19 e 10), dando "solução" a 59/94 = 62,77% Mesmo com a ampliação da faixa a ±15D, a correção fica em 80,85%. Note-se que subcorreções (pontos acima da linha central nos gráficos da figura 5) apareceram em maior número que supercorreções (pontos abaixo dessa linha). Isso também está de acordo com dados da literatura(7). Tais resultados (subcorreções de esotropias) teriam suas obtenções provavelmente fundadas na admissão de progressiva tendência à divergência com o passar do tempo.

Para as exotropias, 14 dos 49 pacientes ficaram absolutamente normocorrigidos. Considerando-se sub ou supercorreções de até 5D, outros 6 pacientes aparecem (respectivamente 4 e 2). Se o valor é ampliado à faixa de 10D, mais 7 casos são registrados (6 subcorreções e uma supercorreção de 5D a 10D, o que dá um total de 27/49 = 55,10 % de "bons" resultados. Com tolerâncias de ±15D, a correção fica ainda em 73,47 %. Note-se que subcorreções (pontos abaixo da linha central nos gráficos da figura 6) são também, geralmente, mais abundantes que supercorreções (pontos acima dessa linha). A maior quantidade de subcorreções nas exotropias pode ser interpretada como devida a planejamentos insuficientes, ou seja, por superestimativas dos efeitos dos procedimentos cirúrgicos, nessas circunstâncias.

D) Previsões e concretizações

A tabela 5 considera para os diferentes grupos de estudo (A a D) exemplos de resultados cirúrgicos previstos (P) e efetivamente obtidos (y) em casos de procedimentos cirúrgicos específicos. Os valores calculados foram obtidos mediante o uso das respectivas fórmulas simplificadas já apresentadas (para determinações de P¢) e pelas equações das linhas de regressão mostradas nas tabelas 2 (para os cálculos de P) e 3 (para os de y).

Os cálculos de P¢, quando usadas as transposições de inserção muscular, sofreram modificações, considerando-se 0,5 mm a mais para os procedimentos de recuo (por exemplo, um recuo de 6 mm com deslocamento do músculo relativamente a seu plano original de ação foi considerado como equivalente a 6,5 mm numa cirurgia sem a transposição) e 0,5 a menos de uma ressecção quando a transposição muscular lhe era associada. Para complementação da tabela, a terceira coluna ("Geral") foi considerada como a média das anteriores ("sem" e "com" transposição).

E) Fatores de variação de resultados cirúrgicos

Na verdade, uma enorme quantidade de condições afetando a resposta do sistema oculomotor a um procedimento cirúrgico simples (como, por exemplo, um recuo de inserção muscular) dá ao valor dessas relações estatísticas (resultado/operação) um significado de aproveitamento individual muito baixo. De fato, transferências de resultados dependem da imprecisão de medidas, pois a inserção escleral de um músculo, em relação à qual as medidas de uma ressecção ou de um recuo ficam referidas, não se mantém imutáveis na mesma posição absoluta de diferentes olhos. As causas de variação são múltiplas:

1) Tamanho do olho

É óbvio que, ao se fazer uma medida sobre a superfície de uma esfera, considerando-se um arco de círculo, ou sua corda (AB ou CD, figura 7), sua expressão terá pouco significado, se não for conhecido o raio de curvatura daquela superfície. De fato, tanto o comprimento do arco quanto o da corda dependem do tamanho da esfera:

 

 

Supondo-se, por exemplo, uma medida de 10 mm em olhos com raios de curvatura 13 (= OA) e 10 (= OC) mm, os respectivos valores angulares (a e a¢) serão 44,07º e 57,30º se a medida for do arco ou 45,24º e 60,00º se for da corda, diferenças de 30,00 e 32,63%, respectivamente. Assim, uma corda CD = 10 mm (para um raio R = 10 mm) equivale a uma de 13 mm (para uma superfície de raio de curvatura igual a 13 mm), isto é, AE (Figura 7), conforme a proporção:

Em outras palavras, há uma relação linear e direta entre os valores das cordas (medidas entre dois pontos, AE ou CD, como as que são feitas com as pontas de um "compasso" usado em cirurgias de estrabismo) e a dos respectivos raios de curvatura do olho (OA ou OC). Embora estes sejam considerados de tamanho relativamente constante (ao redor de 12,2 mm), uma pequena diferença de apenas 0,6 mm entre dois olhos já corresponde a cerca de 5% de variação, o índice comumente empregado para a aceitação ou rejeição de hipóteses em análises estatísticas de resultados...

2) Procedimento operatório: sutura muscular

Não há, entre cirurgiões, concordância absoluta sobre qual "ponto" considerar como válido para marcação de uma distância a ser medida, quer sobre o músculo, quer sobre a esclera. De fato, a inserção escleral do músculo não é uma linha e estende-se sobre uma superfície mais ou menos ampla ao longo do músculo (e.g., entre A e B, figura 8). Além disso, a transição entre o que se interpreta como tendão (músculo) e esclera (olho) não são nitidamente marcados, mesmo quando a fáscia que a recobre for retirada. Finalmente, a passagem de um fio de sutura pela "inserção" de um músculo preso ao olho é virtualmente impossível, pela própria condição da integridade anatômica entre o músculo e a esclera (não se pode passar o fio por A ou entre B e B", figura 8). Resta, pois, passá-lo além da inserção, em posições (e.g., C¢) que podem chegar a diferir (e.g., BC¢) por até cerca de 2 mm entre cirurgiões. Isso faz com que, em geral, recuos de uma inserção sejam superestimados: por exemplo, avaliados como de extensão AD (ou, então, BD) quando, na realidade, se o ponto C¢ for fixado em D, o recuo efetivo fica sendo, apenas, C¢D = CD (Figura 8). Para ressecções, ao contrário, podem ocorrer subestimações. Por exemplo: supondo-se que se deseje ressecar o músculo numa extensão AD¢ e sendo D¢ e D¢¢ fixados em A, procede-se a um "avanço" AB dos pontos D¢ e D¢¢.

 

 

3) Procedimento operatório: sutura escleral e anodamento

Outro aspecto importante é o da passagem do fio pela esclera, desde um local de entrada (I) a um de saída (S) e subseqüente fixação da sutura (Figura 9). Ora, o nó com que se fixa o músculo (M) à esclera tanto pode aproximar M de I (ficando uma sutura "frouxa" entre S e M, figura 10), quanto de S (Figura 11).

 

 

 

 

Quando, geralmente, se procura um anodamento "justo" (SM), a medida deve ser considerada (nesses casos) a partir do ponto de saída da sutura escleral (Figura 11), mesmo porque o recuo corresponderia à extensão AS ~ BI. Obviamente, contudo, podem ocorrer variações, não só entre diferentes pessoas como na técnica de anodamento de um mesmo cirurgião. Não há uniformidade entre eles e diferenças de um ou mais milímetros devidas à forma como se interpreta a medida de um recuo ou de uma ressecção são também comuns, tendo como origem o anodamento final.

O caso extremo de sutura "frouxa" pode ser até intencional (a "hang loose suture") e com um anodamento tal que M fique distante tanto de I quanto de S (que, nesses casos, poderiam ser coincidentes com B e A, respectivamente; na verdade o recuo de fibras esclerais do músculo é BM e o das "orbitárias" é AM) (Figura 12). O inverso da sutura frouxa é o procedimento de avanço da inserção, não muito usado, mas igualmente sujeito aos mesmos tipos de erro.

 

 

F) Comentários conclusivos

Comprova-se na casuística estudada boa correlação entre a magnitude do ângulo de um estrabismo horizontal "simples" (isto é, comitante e sem sinais de paralisias neuromusculares, contenções rotacionais ou disfunções importantes de músculos oblíquos) e a quantidade de cirurgia planejada e executada para corrigi-lo. Essa constatação apenas confirma o que tem sido genericamente aceito na prática cotidiana de consultórios, com fundamentação em princípios quantitativos de uma lógica elementar: para maiores desvios entre os eixos visuais, mais cirurgia (mais músculos operados e ou procedimentos mais extensos)(3,7).

Entretanto, apesar da relativa homogeneidade da casuística, os resultados obtidos mostraram grande dispersão para cada valor angular pré-operatório, tanto no que se refere à correção obtida em função da quantidade dos procedimentos (milímetros de recuos e, ou ressecções musculares) quanto no que se refere à sua adequação (isto é, à magnitude da correção em comparação com a do desvio). Apesar de na média amostral a correção ter sido quase idêntica à do desvio pré-operatório, a variabilidade da distribuição dos resultados foi muito ampla para quaisquer das combinações entre os procedimentos adotados.

Assim, pode-se dizer que enquanto os planejamentos cirúrgicos para a correção de estrabismo são bons em média (isto é, confiáveis quando um conjunto de dados é analisado) continuam a apresentar enorme variabilidade entre os casos (isto é, com inseguranças quanto à previsibilidade individual do resultado) o que, também, já foi apontado(7-8). Na verdade, a casuística corresponde a procedimentos feitos, em sua maioria, por pessoal em treinamento (embora sob assistência de pessoas com maior experiência) e num período de quatro anos (que, embora relativamente curto, também introduz variáveis de possíveis conhecimentos acumulados e de modificações técnicas, ainda que pequenas, entre as cirurgias do início e fim do estudo). É possível que, com condições ainda mais controladas (sempre o mesmo cirurgião como executor de cirurgias) e em condições mais favoráveis (o cirurgião com mais segurança e autonomia para realizar, durante a operação, modificações a um plano previamente sugerido), os resultados se tornassem melhores. De qualquer modo, com o simples fato de se atuar sobre efeitos ou conseqüências (as respostas musculares ao controle oculomotor) e não sobre as causas reais dos estrabismos como os da casuística (o comando inervacional e a transmissão dos respectivos estímulos) manter-se-á perigosa fonte de insucesso a médio e longo prazo. Isso só poderia ser reduzido com uma compreensão mais ampla dos mecanismos do sistema oculomotor e ou com métodos que pudessem controlar as flutuações temporais de suas respostas.

 

CONCLUSÕES

1) Na casuística estudada a proporção de esotropias para exotropias foi, praticamente, de 2:1.

2) Idêntica proporção aproximada (2:1) foi igualmente observada entre cirurgias de duplo recuo e de recuo-resseção nas esotropias.

3) Nas exotropias, a proporção entre essas cirurgias foi, praticamente, de 1:1.

4) Cirurgias com transposições musculares, quando comparadas às sem alterações dos planos de ação musculares, tanto em eso como em exotropias seguiram, também, a proporção aproximada de 2:1. Essa mesma proporção foi também obedecida nas cirurgias de duplo recuo e nas de recuo e ressecção, nas esotropias. Nas cirurgias de duplo recuo nas exotropias, a proporção aproximada foi de 9:2, enquanto nas de recuo e ressecção foi de 1:1.

5) Altas correlações foram observadas entre a magnitude do ângulo de desvio e a quantidade executada da cirurgia respectiva (milímetros de recuo da inserção muscular ou de resseção), confirmando o uso de fórmulas genéricas para o planejamento quantitativo.

6) Em média, o resultado das cirurgias (ângulo corrigido) foi praticamente idêntico ao dos ângulos a serem corrigidos (respectivamente 38,95 ± 13,57D e 42,49 ± 11,68D nas esotropias; 31,64 ± 14,58D e 35,39 ± 9,93D nas exotropias).

7) Não obstante, foram muito baixas as correlações entre o resultado proporcional da cirurgia (D/mm) e o valor do desvio.

8) A proporção de adequações da cirurgia ao objetivo de correção do desvio quando intervalos de ±5D, ±10D ou ±15D foram considerados, mostrou-se, respectivamente: 31,9 %, 62,8 %, e 80,8 % nas esotropias; 40,8 %, 55,1 % e 73,5 % nas exotropias.

9) Os planejamentos e suas execuções podem ser considerados como "satisfatórios" quando médias de um conjunto de ângulos pré-operatórios e de resultados cirúrgicos são comparadas. Equações genéricas são então adaptáveis ao conjunto de casos.

10) A ampla variabilidade dos resultados é absolutamente insatisfatória quando a previsibilidade de cada caso, individualmente, é cogitada.

A explicação para a grande variabilidade dos resultados pode ser buscada na própria origem dos estrabismos (cuja casuística foi estudada) e de suas correções, ou seja, a de atuação sobre os efeitos (respostas musculares) e não sobre as causas (controle inervacional do sistema oculomotor). Além disso, são múltiplas as causas de variação do resultado de uma cirurgia sobre um músculo ocular externo no que se refere à modificação da posição relativa dos eixos visuais. Elas são tanto de ordem anatômica (tamanho do olho, capacidade contrátil do músculo), como operacional (sutura muscular, sutura escleral, anodamento, etc.). Estudos retrospectivos introduzem, além disso, outras variáveis, tais como diversidades temporais de conhecimentos e suas aplicações (por um mesmo cirurgião) e, eventualmente, heterogeneidade na execução de mesmos procedimentos, entre diferentes agentes (quando se trata de um levantamento de dados coletivos, como os da casuística).

 

 


 

 

REFERÊNCIAS

1. Mims III JL, Wood RC. A three-dimensional surgical dose-response schedule for lateral rectus resections for residual congenital/infantile esotropia after large bilateral medial rectus recessions. Binocul Vis Strabismus Q 2000;15:20-8.         

2. Ruttum MS. Initial versus subsequent postoperative motor alignment in intermittent exotropia. J AAPOS 1997;1:88-91         

3. Abbasoglu OE, Sener EC, Sanac AS. Factors influencing the successful outcome and response in strabismus surgery. Eye 1996;10:315-20.         

4. Uesugui CF, Mariano Júnior OP, Goldchmit M, Souza-Dias C. Eficácia da transposição vertical dos músculos retos horizontais para correção de hipertropia comitante associada a estrabismos essenciais. Arq Bras Oftalmol 1993;56:320-5.         

5. Souza-Dias CR. Considerações sobre as transposições dos músculos retos: o deslizamento lateral. Arq Bras Oftalmol 1996;59:579-88.         

6. Bicas HEA. Oftalmologia: Fundamentos. São Paulo: Contexto; 1991.         

7. Altintas AK, Yilmaz GF, Duman S. Results of classical and augmented bimedial rectus recession in infantile esotropia. Strabismus 1999;7:227-36.         

8. Keenan JM, Willshaw HE. The outcome of strabismus surgery in childhood exotropia Eye 1994;8(Pt6):632-7.         

9. Shauly Y, Miller B, Meyer E. Clinical characteristics and long-term postoperative results of infantile esotropia and myopia. J Pediatr Ophthalmol Strabismus 1997;34:357-64.         

10. Stoller SH, Simon JW, Lininger LL. Bilateral lateral rectus recession for exotropia: a survival analysis. J Pediatr Ophthalmol Strabismus 1994;31: 89-92.         

11. Ing MR, Nishimura J, Okino L. Outcome study of bilateral lateral rectus recession for intermittent exotropia in children. Ophthalmic Surg Lasers 1999; 30:110-7.         

12. Tolun H, Dikici K, Ozkiris A. Long-term results of bimedial rectus recessions in infantile esotropia. J Pediatr Ophthalmol Strabismus 1999;36:201-5.         

 

 

1Médica contratada pelo Hospital das Clínicas da Faculdade de Medicina de Ribeirão Preto da Universidade de São Paulo.
2 Chefe do Departamento de Oftalmologia, Otorrinolaringologia e Cirurgia de Cabeça e Pescoço. Faculdade de Medicina de Ribeirão Preto da Universidade de São Paulo.

Endereço para correspondência: Rua Caramuru, 1280 apto. 18 - Ribeirão Preto (SP) CEP 14030-000.


Dimension

© 2026 - All rights reserved - Conselho Brasileiro de Oftalmologia