Yunfan Xiong; Ying Liu; Jian Ge
DOI: 10.5935/0004-2749.20180075
ABSTRACT
Purposes: To develop an efficient and xeno-free standard eye-derived induced pluripotent stem cell reprogramming protocol for use during induced pluripotent stem cell-based cell therapies in treating retinal degenerative diseases and to compare the relative effectiveness of both animal- an non-animal-derived culture systems in the generation of induced pluripotent stem cells.
Methods: Primary cultured human pterygium fibroblasts and human Tenon’s capsule fibroblasts were induced to induced pluripotent stem cells using a non-integrated virus under two xeno-free systems; as part of this study, a traditional non-xeno-free reprogramming system was also assessed. Induced pluripotent stem cell clones were selected and counted by live staining. Reprogramming efficiencies were evaluated between the fibroblasts and among different culture systems. In a series of experiments, such as PCR and immunofluorescence staining, the induced pluripotent stem cells were characterized.
Results: Human pterygium fibroblast- and human Tenon’s capsule fibroblast-derived induced pluripotent stem cells were successfully established using different reprogramming systems, under which they exhibited properties of induced pluripotent stem cells. Reprogramming efficiencies of induced pluripotent stem cells using the cell therapy system, the traditional system, and the E6/E8 system were 0.014%, 0.028%, and 0.001%, respectively, and those of human pterygium fibroblast- and human Tenon’s capsule fibroblast-derived induced pluripotent stem cells-using the aforementioned systems-were 0.018% and 0.017%, respectively.
Conclusions: Sendai virus facilitates induced pluripotent stem cell reprogramming of ocular fibroblasts-both human pterygium and human Tenon’s capsule fibroblasts being safe and efficient for induced pluripotent stem cell reprogramming. Although the reprogramming efficiencies of ocular-derived induced pluripotent stem cells under xeno-free conditions were not superior to those observed using the traditional reprogramming system, the cell therapy system reprogramming system is a good option when induced pluripotent stem cells are to be induced under xeno-free conditions.
Keywords: Induced pluripotent stem cells; Sendai virus; Fibroblasts, cellular reprogramming techniques
RESUMO
Objetivos: Desenvolver um protocolo padrão, eficiente e xeno-livre, para a reprogramação de células-tronco pluripotentes induzidas, que possa ser usado durante as terapias de células-tronco pluripotentes induzidas para o tratamento de doenças degenerativas da retina, e comparar a eficácia relativa de sistemas de cultivo de origem animal e de origem não animal na geração de células-tronco pluripotentes induzidas.
Métodos: Cultivos primários de fibroblastos de pterígio humano e de fibroblastos da cápsula de Tenon humanos foram induzidos a células-tronco pluripotentes induzidas usando um vírus não integrado sob dois sistemas xeno-livres; um sistema tradicional de reprogramação não xeno-livre também foi avaliado como parte deste estudo. Os clones de células-tronco pluripotentes induzidas foram selecionados e contados por coloração de células vivas. As eficiências de reprogramação foram avaliadas entre os diferentes fibroblastos e entre os diferentes sistemas de cultivo. Uma série de experimentos, como o PCR e a coloração por imunofluorescência, foram conduzidos para caracterizar as células-tronco pluripotentes induzidas.
Resultados: Células-tronco pluripotentes induzidas derivadas de fibroblastos de pterígio humano e fibroblastos da cápsula de Tenon humanos foram estabelecidas com sucesso sob diferentes sistemas de reprogramação e exibiram propriedades de células-tronco pluripotentes induzidas. As eficiências de reprogramação das células-tronco pluripotentes induzidas usando o sistema de terapia celular, o sistema tradicional e o sistema E6/E8 foram
0,014, 0,028% e 0,001%, respectivamente. Além disso, as eficiências de reprogramação de células-tronco pluripotentes induzidas derivadas de fibroblastos de pterígio humano e de fibroblastos da cápsula de Tenon humanos usando todos os sistemas acima foram de 0,018% e 0,017%, respectivamente.
Conclusões: O vírus Sendai pode ser usado para facilitar a reprogramação de fibroblastos oculares pelas células-tronco pluripotentes induzidas. Tanto os fibroblastos de pterígio humano quanto os fibroblastos da cápsula de Tenon humanos são seguros e eficientes para a reprogramação de células-tronco pluripotentes induzidas. Embora as eficiências de reprogramação das células-tronco pluripotentes induzidas de origem ocular sob condições xeno-livres não tenham sido superiores às eficiências observadas para o sistema tradicional de reprogramação, o sistema de reprogramação sistema de terapia celular é uma boa opção para a indução de células-tronco pluripotentes induzidas sob condições xeno-livres.
Descritores: Células-tronco pluripotentes induzidas; Vírus Sendai; Fibroblastos; Técnicas de reprogramação celular
INTRODUCTION
In 2007, Takahashi et al. successfully reprogrammed human cells into induced pluripotent stem cells (iPSCs)(1). iPSCs can differentiate into various types of terminal cells harboring the same genetic make-up as donor patients. iPSCs can not only be used for in vitro studies pertaining to the pathogenesis of human diseases but also are capable of unlimited in vitro proliferation-the latter characteristic suggesting their potential use in targeted cell transplantation therapies for human patients(2,3).
However, before iPSC technology can be adapted for large-scale clinical applications, at least two basic conditions need to be satisfied: first, the induction efficiency of iPSCs needs to be sufficiently high and second, the absolute safety of patients during transplantation procedures must be ensured(4). The traditional iPSC culture system contains various animal-derived components, including animal-derived bFGF and bovine serum. In the traditional method of culturing iPSCs, an animal-sourced feeder cell layer, such as mouse embryonic fibroblast cells (MEFCs)(1), is also required to maintain pluripotency and self-renewal capacity. However, animal-derived components can cause zoonotic diseases introduced by pathogens such as viruses, bacteria, and prions(5). In addition, non-human sialic acids secreted by feeder cells, when absorbed by stem cells, can cause immunogenicity(6,7). This phenomenon can cause immune rejection during cell transplantation. To avoid these safety issues, animal-derived components in traditional iPSC culture medium can be replaced by corresponding human or recombinant source components. Various non-animal-derived culture systems (xeno-free culture systems) comprising various alternative components, including the E6/E8 and CTS systems can be used(8). As part of the present analysis, the relative effectiveness of animal- and non-animal-derived culture systems in the generation of iPSCs was compared.
The use of iPSCs for the treatment of human degenerative eye diseases was the specific interest in the present study. Deng et al.(9) have previously reported a relatively simple method of generating patient-tailored iPSCs from human Tenon’s capsule fibroblasts (HTFs). The resultant cells represented a potentially invaluable resource for the treatment of multifarious ocular degenerative diseases. In a separate study conducted by Qiu et al.(10), a detailed protocol was reported for the generation of iPSCs from human lens epithelial cells isolated from cataract patients. The development of protocols for the generation of iPSCs from cells of ocular origin-considering that pluripotent cells harbor epigenetic memory characteristics that underpin successful transformation into healthy target cells(11)-carries even more significance. In the present study, new strategies for the generation of iPSCs from human eye-derived fibroblasts following Sendai virus transfection were investigated.
Because a transfection strategy that involved the use of a viral vector was employed, it was important to point out the concerns accompanying this approach. Indeed, the integration of viral DNA into donor cell genomes may result in the following serious consequences: (1) viral DNA, by interfering with critical genes, can lead to cell death and (2) viral DNA integration, by affecting tumor suppressor gene expression, can result in tumorigenesis(12,13). Sendai virus, an ssRNA virus, replicates in the cytoplasm of transfected cells, without synthesizing DNA or integrating into the host cell genome(14). Compared with other transfection vectors, Sendai virus exhibits a high transfection efficiency and is not pathogenic to humans(15). In conjunction with animal-free culture systems, Sendai virus can be used to generate iPSCs under xeno-free conditions(16,17). The aim of this study was to compare the generation of iPSCs from various ocular fibroblast cell types using both xeno-free and conventional culture conditions. Ultimately the results of this study may aid in the development of strategies underpinning the successful generation of potentially therapeutic iPSCs.
METHODS
Materials
Human ocular fibroblasts obtained from patients at the Zhongshan Eye Center or from the Zhongshan Eye Center eye bank were the primary cells used in this study. Tissues from seven pterygium excisions were collected. In addition, seven Tenon’s capsule tissue samples were collected from patients or from the Zhongshan Eye Center eye bank. All protocols were approved by the Ethics Committee at Zhongshan Eye Center. All patients signed consent forms prior to the initiation of the study. All animals were provided by the Experimental Animal Center of Sun Yat-sen University.
iPSCs were generated from human eye-derived fibroblasts following Sendai virus transfection, and the obtained cells were allowed to proliferate in culture. All reagents, feeder layers, the CytoTuneTM-iPS 2.0 Sendai Reprogramming Kit, the Essential-6/Essential-8 (E6/E8) culture system, and the Cell Therapy System (CTS) culture system were purchased from Life Technologies (USA). The E6/E8 and CTS culture systems met all appropriate standards associated with xeno-free conditions(8). The culture medium, basic fibroblast growth factor (bFGF), and GlutaMAX were all human-derived or were human recombinant proteins. Instead, of MEFCs, Vitronectin and CELLstart derived from humans were used.
Experimental design
In this study, the following two human ocular fibroblast cell types were used: HTFs and human pterygium fibroblasts (HPFs). Both of these cell types were cultured and transfected with Sendai virus in both a traditional culture system (containing animal-derived components) and under xeno-free conditions (E6/E8 and CTS). Subsequently, various human eye fibroblast types were compared under different culture systems in terms of their reprogramming efficiencies and their capacity to generate iPSCs.
The cell culture systems were as follows: system I comprised conventional stem cell culture medium (containing animal-derived components) + an MEFC feeder layer; system II comprised E6/E8 medium + feeder-free culture conditions (Vitronectin-coated dishes); and system III comprised CTS + feeder-free culture conditions (CELLStart-coated dishes). iPSC reprogramming was performed using the CytoTuneTM-iPS 2.0 Sendai Reprogramming Kit. Reprogramming efficiency was assessed by live staining. iPSC clones were selected, propagated, and subsequently characterized.
Primary cultures of human ocular fibroblasts
Human pterygium tissues or human Tenon’s capsule tissues were obtained in operating rooms under sterile conditions. Once retrieved, the tissues were immediately placed in a cell culture chamber, repeatedly washed with 100 U/mL penicillin and streptomycin in aseptic PBS solution, and cut into 1 × 1 mm tissue blocks using ophthalmic micro-scissors in a 60-mm tissue culture dish. Next, the cells were incubated with Dulbecco’s Modified Eagle Medium (DMEM) supplemented with 10% human serum in a cell incubator at 37°C. After 2-4 weeks, the cells became confluent near the edges of the tissue pieces. Next, the cells underwent first passage and were subsequently passaged every 2 days. Cell growth curves were calculated using a hemocytometer. The cell doubling time was calculated and cells exhibiting vigorous growth were selected for iPSC reprogramming.
Reprogramming of human eye-derived iPSCs
Preparation of the cell feeder layer or alternative feeder-free cell culture
System I: BALB/c mouse embryos (E13.5) were used to obtain MEFs. MEF passages 3-5 were treated with 10 µg/ml mitomycin and used to prepare the cell feeder layer. System II: diluted vitronectin was added to the corresponding culture dishes to achieve a final concentration of 1.0 µg/cm2. Culture vessels (with vitronectin) were maintained at room temperature for 1 h and immediately used. System III: Diluted CELLStart was added to the corresponding culture dishes to achieve a concentration of 0.078 mL/cm2. The cultures were subsequently placed in a tissue culture incubator at 37°C for 2 h and immediately used.
Sendai virus transfection of human ocular fibroblasts to generate human eye-derived iPSCs
HTF/HPF passages 3 or 4 were seeded in 6-well plates for approximately 2 days. When cell numbers reached 2-3 × 105/well, reprogramming was initiated using the virus titer provided from the CytoTuneTM-iPS 2.0 Sendai Reprogramming Kit, with viral solutions containing OCT3/4, SOX2, Klf4, and c-Myc transcription factors added at a multiplicity of infection of 3. The associated cultures were maintained for 6-7 days in human fibroblast culture medium and passaged to the MEF feeder layer or alternative feeder-free layer. The culture was subsequently switched to iPSC culture medium (for system I: traditional animal-derived culture medium containing DMEM F-12 supplemented with 20% fetal bovine serum, 1% non-essential amino acids, 1% β-mercaptoethanol, 2 mM L-glutamine, and 20 ng/ml bFGF; for system II: E6/E8 medium containing essential 6/essential 8 medium, 2% essential 8 supplement, and 10 ng/ml recombinant human bFGF; for system III: CTS medium containing KnockOutTM DMEM CTSTM supplemented with 15% KnockOutTM SR XenoFree CTSTM, 1% KnockOutTM SR GF Cocktail CTSTM, 1% β -mercaptoethanol, 1% GlutaMAXTM -ICTSTM, and 20 ng/ml recombinant human bFGF). From day 9, cultures were examined on a daily basis under a microscope for the presence of cell clones. When the cell clones had grown large enough (after approximately 3-4 weeks), morphological characteristics were assessed and live staining was performed prior to the propagation of clones. Cells were allowed to further proliferate to obtain a sufficient number of cells for iPSC characterization.
Live staining to evaluate the reprogramming efficiency of different human ocular fibroblasts under different culture conditions
Three or four weeks after Sendai virus transfection, TRA-1-60 antibody was added into the culture medium for 1 h at 37°C. Culture medium containing secondary antibody was subsequently added in the dark for 1 h at 37°C. Cultures were observed under a fluorescence microscope, and cell clones exhibiting fluorescent staining were marked at the bottom of the culture dish using a marker pen. The numbers of positively stained clones derived from HTFs/HPFs were counted and compared between different culture conditions. The clone formation rate was calculated (clone formation rate= number of positive clones of live cells in the culture dish/the number of HPFs or HTFs inoculated on the 8th day after transfection).
iPSC characterization
iPSC characterization included iPSC pluripotency gene detection by PCR, alkaline phosphatase staining, immunofluorescence staining, flow cytometry, karyotype analysis, and in vivo (teratoma formation) and in vitro (embryoid body formation) differentiation tests.
PCR was performed to test the relative expression of OCT3/4, NANOG, and SOX2, and alkaline phosphatase staining, immunofluorescence staining, and flow cytometry were performed to test specific markers of iPSCs. After conducting the teratoma formation test, iPSC suspensions were injected into the leg muscles of NOD-SCID mice (2 × 105-2 × 106 cells/each position).
Statistical analysis
Donor cell growth curve fitting, donor age, and cell doubling time comparisons for the different groups of proliferating cells were performed using SPSS 19.0 software.
RESULTS
Primary cultures of human ocular fibroblasts
Fibroblasts were successfully obtained from six human pterygium tissues-HPF1-HPF6-and five human Tenon’s capsule tissues-HTF1-HTF5. SPSS software was used to generate cell growth curves and to calculate the cell doubling time, thereby facilitating an assessment of the cells’ ability to proliferate. Subsequently, cell lines HPF1-5 and HTF1, 3, and 5, which had shorter doubling times, were selected for further experiments and iPSC reprogramming.
Reprogramming using sendai virus in different systems to generate iPSCs
Clones became visible on the 12th day after Sendai virus transfection. Live cell staining and clonal selection were initiated after 3-6 weeks. Only a limited number of clones were generated using the E6/E8 system, and they stopped growing from the beginning of the third week; further, there was no improvement in cellular growth after switching to E8 culture medium. A large number of clones were generated using both the CTS and conventional systems, and the associated clones were also larger than those generated using the E6/E8 system. If a cell line was observed not to contain any TRA-1-60-positive clone or clones that were too small after 6 weeks, the selection process was terminated. TRA-1-60-positive clones were selected for iPSCs.
Evaluation of iPSC reprogramming efficiency
Figure 1 shows the imaging results for TRA-1-60 live cell staining. These images were obtained before and after staining using an inverted microscope and a fluorescence microscope. The expression of TRA-1-60 indicates successful reprogramming of the cell clones.

TRA-1-60-positive clones were harvested from the transfected fibroblasts under the three reprogramming systems. Table 1 shows the reprogramming efficiency of each culture system, and table 2 shows the reprogramming efficiency of the two types of fibroblasts.
iPSC characterization
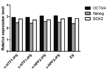
The morphology of subcultured transfected cells generated using the xeno-free and non-xeno-free systems is shown in figure 2. The relative expression of OCT3/4, NANOG, and SOX2 was also assessed in putative iPSCs. HTF was used as a negative control, and ES was used as a positive control. n-HTF1-iPSC and n-HPF2-iPSC represent HTF1- and HPF2-derived iPSCs obtained using the conventional culture system, respectively. c-HTF1-iPSC and c-HPF2-iPSC represent HTF1- and HPF2-derived iPSCs obtained from the CTS culture system, respectively (Figure 3). The results demonstrated that the expression of endogenous pluripotent genes in iPSCs was >200-fold higher than that in HTFs and was similar to the expression in ES cells.


Immunofluorescence staining demonstrated that iPSCs derived from HPFs and HTFs in the CTS system (CTS-HPF/HTF-iPSC) expressed not only the characteristic cell surface markers of human pluripotent stem cells, including TRA-1-60, TRA-1-81, and SSEA-4, but also the intracellular marker proteins Nanog, SOX2, and OCT4 (Figure 4). Importantly, HTF/HPF-iPSCs obtained by reprogramming using the conventional and CTS systems exhibited normal human karyotypes (Figure 5).


Both in vivo and in vitro differentiation tests were conducted to further characterize iPSCs. First, NOD-SCID immunodeficient mice were injected with CTS-HPF/HTF-iPSC suspensions. Four to six weeks after injection, tumors were observed. Ten weeks after injection, the teratomas were retrieved and histological examination was performed. Endoderm, mesoderm, and ectoderm layers were observed, indicating the pluripotency of the iPSCs. After the culturing of CTS-HPF/HTF-iPSCs in iPSC medium without bFGF for 2-3 weeks, embryoid bodies were observed (Figure 6).
DISCUSSION
Effects of donor cell tissue on iPSC generation
Both iPSCs and ES cells are pluripotent stem cells. Thus, iPSCs should not, in theory, carry tissue-specific markers unique to terminally differentiated cells, the reprogramming process that encompasses the transition of adult cells to iPSCs thus resulting in the removal of tissue-specific markers. However, the latter transition apparently does not always occur. Many studies have revealed that iPSCs tend to carry specific epigenetic characteristics associated with their donor cells, a phenomenon known as epigenetic memory(11,18). Further studies have shown that these residual epigenetic markers prevent iPSCs from differentiating into cells other than those normally associated with the donor cell lineages(19). It follows that iPSCs reprogrammed from retinal donor cells rather than other organs may be optimal for the study of cortical blindness in ophthalmopathy. In 2012, our group was the first to report a case of successful reprogramming of human Tenon’s capsule-derived fibroblasts into iPSCs(9).
Effect of iPSC proliferation on reprogramming efficiency
In 2008, Park et al. reported that SV40LT and hTERT, two anti-aging factors, improve the reprogramming efficiency of iPSCs(20). In 2011, Ruiz et al. also reported that cell proliferation, in the early stages of iPSC development, is highly associated with reprogramming efficiency; cells exhibiting greater levels of proliferation were reported to be more likely to form iPSC clones(21). For this reason, as part of this study-prior to further processing-we assessed the growth dynamics of transfected cells. Cortical blindness is common among elderly patients, and aging will inevitably reduce the efficiency of iPSC induction(22,23). Pterygium, a wing-like pathological tissue formed following the abnormal growth of fibrous vascular tissue under the conjunctiva, is an eye disease occurring primarily in the elderly. This tissue type, rich in fibroblasts, exhibits a strong capacity to proliferate. HPFs and HTFs are both eye-derived fibroblasts. Our study demonstrates that HPF-derived iPSCs do not exhibit abnormal karyotypes, although the HPFCs were obtained from pathological tissue. Moreover, HPFs obtained from elderly patients-in a similar way to HPFs from young patients-were efficient at reprogramming. Our results therefore suggest that HPFs might represent a viable choice in the generation of iPSCs for elderly patients.
The expression levels of OCT3/4, NANOG, and SOX2 were assessed in putative iPSCs to further characterize the reprogrammed cells using HTF as a negative control and ES as a positive control. In maintaining the pluripotency of iPSCs, OCT3/4, Nanog, and SOX2 are important transcriptional regulators(24-26). Similar expression profiles were observed for these markers in cells that underwent varying reprogramming regimens. This is further evidence for the efficacy of the clonal selection strategies utilized in the study, resulting in the generation of fully reprogrammed iPSCs. Upon analysis of the reprogramming efficiencies, the CTS system was significantly more effective than the E6/E8 system, while both systems were less effective than the traditional control system. However, it is likely that reprogramming conditions could be further optimized to negate the observed differences in reprogramming efficiency.
iPSC clone selection
Fully reprogrammed iPSCs exhibit morphological and molecular characteristics similar to those of ESCs. Previous studies have been performed mainly by selecting clones that exhibit typical ESC clonal morphology. However, since many partially reprogrammed cells can grow into clones with morphologies similar to those of typical ESC clones, visual assessment of iPSC clones is relatively subjective and has a high false-positive rate. Advances in molecular technology have ushered in live staining procedures to select iPSC clones by identifying signature proteins that are known to be specific to PSCs. iPSC clones are identifiable either colorimetrically or by fluorescence, and the staining process does not adversely affect the observed cells. After a short time, the color or fluorescence automatically disappears, allowing for continued passaging of the cells. The emergence of this method has greatly enhanced the efficacy of iPSC clonal selection.
In 2011, Ramirez et al. reported that TRA-1-60, as a PSC marker, is more specific than other markers(27). Hence in this study, a TRA-1-60 live cell staining method was used in combination with morphological assessment to select iPSC clones. Our results revealed the success of this strategy for clonal selection.
REFERENCES
1. Takahashi K, Tanabe K, Ohnuki M, Narita M, Ichisaka T, Tomoda K, et al. Induction of pluripotent stem cells from adult human fibroblasts by defined factors. Cell. 2007;131(5):861-72.
2. Trounson A, Shepard KA, DeWitt ND. Human disease modeling with induced pluripotent stem cells. Curr Opin Genet Dev. 2012; 22(5):509-16.
3. Ramsden CM, Powner MB, Carr AJ, Smart MJ, da Cruz L, Coffey PJ. Stem cells in retinal regeneration: past, present and future. Development. 2013;140(12):2576-85.
4. Borooah S, Phillips MJ, Bilican B, Wright AF, Wilmut I, Chandran S, et al. Using human induced pluripotent stem cells to treat retinal disease. Prog Retin Eye Res. 2013;37:163-81.
5. De Sousa PA, Galea G, Turner M. The road to providing human embryo stem cells for therapeutic use: the UK experience. Reproduction. 2006;132(5):681-9.
6. Martin MJ, Muotri A, Gage F, Varki A. Human embryonic stem cells express an immunogenic nonhuman sialic acid. Nat Med. 2005;11(2):228-32.
7. Heiskanen A, Satomaa T, Tiitinen S, Laitinen A, Mannelin S, Impola U et al. N-glycolylneuraminic acid xenoantigen contamination of human embryonic and mesenchymal stem cells is substantially reversible. Stem Cells. 2007;25(1):197-202.
8. Chen G, Gulbranson DR, Hou Z, Bolin JM, Ruotti V, Probasco MD et al. Chemically defined conditions for human iPSC derivation and culture. Nat Methods. 2011;8(5):424-9.
9. Deng F, Hu H, Chen M, Sun X, Liu X, Dong Z, et al. Generation of induced pluripotent stem cells from human Tenon’s capsule fibroblasts. Mol Vis. 2012;18:2871-81.
10. Qiu X, Yang J, Liu T, Jiang Y, Le Q, Lu Y. Efficient generation of lens progenitor cells from cataract patient-specific induced pluripotent stem cells. PLoS One. 2012;7(3):e32612.
11. Kim K, Doi A, Wen B, Ng K, Zhao R, Cahan P, et al. Epigenetic memory in induced pluripotent stem cells. Nature. 2010;467(7313): 285-90.
12. Harui A, Suzuki S, Kochanek S, Mitani K. Frequency and stability of chromosomal integration of adenovirus vectors. J Virol. 1999; 73(7):6141-6.
13. Okita K, Ichisaka T, Yamanaka S. Generation of germline-competent induced pluripotent stem cells. Nature. 2007;448(7151):313-7.
14. Lamb RA, Parks GD. Paramyxoviridae: the viruses and their replication. In: Fields BN, Knipe DM, Howley PM, editors. Fields Virology. Volume 1. 6th ed. Philadelphia (PA): Lippincott, Williams & Wilkins; 2013. p. 957-95.
15. Tokusumi T, Iida A, Hirata T, Kato A, Nagai Y, Hasegawa M. Recombinant Sendai viruses expressing different levels of a foreign reporter gene. Virus Res. 2002;86(1-2):33-8.
16. Macarthur CC, Fontes A, Ravinder N, Kuninger D, Kaur J, Bailey M, et al. Generation of human-induced pluripotent stem cells by a nonintegrating RNA Sendai virus vector in feeder-free or xeno-free conditions. Stem Cells Int. 2012;2012:564612.
17. Kele M, Day K, Rönnholm H, Schuster J, Dahl N, Falk A. Generation of human iPS cell line CTL07-II from human fibroblasts, under defined and xeno-free conditions. Stem Cell Res (Amst). 2016;17(3):474-8.
18. Doi A, Park IH, Wen B, Murakami P, Aryee MJ, Irizarry R, et al. Differential methylation of tissue- and cancer-specific CpG island shores distinguishes human induced pluripotent stem cells, embryonic stem cells and fibroblasts. Nat Genet. 2009;41(12):1350-3.
19. Kim K, Zhao R, Doi A, Ng K, Unternaehrer J, Cahan P, et al. Donor cell type can influence the epigenome and differentiation potential of human induced pluripotent stem cells. Nat Biotechnol. 2011;29(12):1117-9.Erratum in Nat Biotechnol. 2012 Jan;30(1):112.
20. Park IH, Lerou PH, Zhao R, Huo H, Daley GQ. Generation of human- induced pluripotent stem cells. Nat Protoc. 2008;3(7):1180-6.
21. Ruiz S, Panopoulos AD, Herrerías A, Bissig KD, Lutz M, Berggren WT, et al. A high proliferation rate is required for cell reprogramming and maintenance of human embryonic stem cell identity. Curr Biol. 2011;21(1):45-52.
22. Marión RM, Strati K, Li H, Murga M, Blanco R, Ortega S, et al. A p53-mediated DNA damage response limits reprogramming to ensure iPS cell genomic integrity. Nature. 2009;460(7259):1149-53.
23. Li H, Collado M, Villasante A, Strati K, Ortega S, Cañamero M, et al. The Ink4/Arf locus is a barrier for iPS cell reprogramming. Nature. 2009 Aug;460(7259):1136-9.
24. Nichols J, Zevnik B, Anastassiadis K, Niwa H, Klewe-Nebenius D, Chambers I et al. Formation of pluripotent stem cells in the mammalian embryo depends on the POU transcription factor Oct4. Cell. 1998;95(3):379-91.
25. Avilion AA, Nicolis SK, Pevny LH, Perez L, Vivian N, Lovell-Badge R. Multipotent cell lineages in early mouse development depend on SOX2 function. Genes Dev. 2003;17(1):126-40.
26. Kalmar T, Lim C, Hayward P, Muñoz-Descalzo S, Nichols J, Garcia-Ojalvo J, et al. Regulated fluctuations in nanog expression mediate cell fate decisions in embryonic stem cells. PLoS Biol. 2009; 7(7):e1000149.
27. Ramirez JM, Gerbal-Chaloin S, Milhavet O, Qiang B, Becker F, Assou S, et al. Brief report: benchmarking human pluripotent stem cell markers during differentiation into the three germ layers unveils a striking heterogeneity: all markers are not equal. Stem Cells. 2011; 29(9):1469-74.
Submitted for publication:
January 28, 2018.
Accepted for publication:
June 22, 2018.
Funding: This study was supported by National Natural Science Foundation of China (Grant Nos. 81371007, 81430009 and 81170846)
Disclosure of potential conflicts of interest: None of the authors have any potential conflicts of interest to disclose
Approved by the following research ethics committee: ZhongShan Ophthalmic Center (# 2014MEKY017)